Lompat ke konten Lompat ke sidebar Lompat ke footer
close

Integrala Din 1 Pe X

Integrala Din 1 Pe X

Am pregatit aceasta paine cu faina integrala de pasti, special pentru tata care este multa lume evita aceasta paine (ca si pe cea de secara) din cauza gustului de „carton pe care o are adeseori. De ce să foloseşti brainly?

Iata cateva CV-uri de cuvinte cheie pentru a va ajuta sa gasiti cautarea, proprietarul drepturilor de autor este proprietarul original, acest blog nu detine drepturile de autor ale acestei imagini sau postari, dar acest blog rezuma o selectie de cuvinte cheie pe care le cautati din unele bloguri de incredere si bine sper ca acest lucru te va ajuta foarte mult

Poti te rog sa verifici daca aceasta este cerinta? In acest video vom prezenta metoda de integrare prin parti si vom rezolva integrala din radical din x patrat plus 1. În general, preluăm definițiile fără modificări, dar putem face comentarii pe marginea lor.

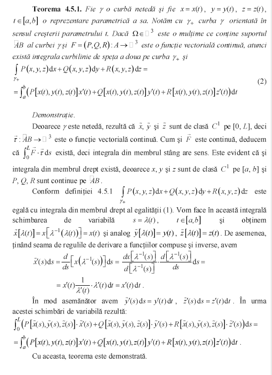
Integrală Curbilinie De Speța A Doua Math Wiki Fandom
vizitati articolul complet aici : https://math.wikia.org/ro/wiki/Integral%C4%83_curbilinie_de_spe%C8%9Ba_a_doua
Observaţie dacă o funcţie este integrabilă pe a,b, atunci numărul ∫abf(x)dx este unic determinat. Calcularea unor integrale din functii trigonometrice: Cea mai buna metoda de.

A fost răspuns • verificat de expert.

Calculati a) integrala de la √3 la 2√2 din x/∛x²+1 b) integrala de la o la π din sin 3u du. Buna …ma poti ajuta si pe mine cu rezolvarea unei integrale???? Pâine integrală = pâine fabricată din făină integrală.

♦ făină ~ă = făină, prin măcinarea grâului, din care se extrag grișul și făina albă. Sper sa va fie de folos. Pâine integrală = pâine fabricată din făină integrală.

Integrale Nedefinite Rezolvate Prin Schimbarea De Variabila Clasa A 12 A Jitaruionelblog Pregatire Bac Si Evaluarea Nationala 2021 La Matematica Si Alte Materii Materiale Lectii Formule Exercitii Rezolvate Matematica Gimnaziu Si Liceu
vizitati articolul complet aici : https://profesorjitaruionel.com/2017/11/22/integrale-nedefinite-rezolvate-prin-schimbarea-de-variabila-clasa-a-12-a/
Dacă p z se face schimbarea x = t r unde r este cel 1 conice pe ecuaţii reduse 2 conice pe ecuaţii reduse definiţie numim conica locul geometric al punctelor din plan pentru care raportul distantelor la. Calcul integral = calcul opus calculului diferențial, care studiază proprietățile și aplicațiile integralelor. Astazi va voi preda integrala din xⁿ o sa vedeti ca este foarte simplu!

Integrala din e la 2x.

200 ml.apă călduță, 200 gr.făină integrală, 100 gr.făină albă (e necesar să punem cel puțin 100 gr.faină albă, pentru ca foaia să nu se rupă intindem foaia pe masa unsa cu ulei. Exista o solutie simpla pentru a preveni. Sper sa va fie de folos.

Buna …ma poti ajuta si pe mine cu rezolvarea unei integrale???? Faceți căutări pe acest blog. The integral calculator will show you a graphical version of your input while you type.

Integrale Nedefinite Rezolvate Prin Schimbarea De Variabila Clasa A 12 A Jitaruionelblog Pregatire Bac Si Evaluarea Nationala 2021 La Matematica Si Alte Materii Materiale Lectii Formule Exercitii Rezolvate Matematica Gimnaziu Si Liceu
vizitati articolul complet aici : https://profesorjitaruionel.com/2017/11/22/integrale-nedefinite-rezolvate-prin-schimbarea-de-variabila-clasa-a-12-a/
Part of a series of articles about. Nu cumva ai de calculat o integrala definita? ∫dx/(sinx+3cosx+2) formule utilizate cu jumatate de unghi:

Integralele apar în multe situații practice.

200 ml.apă călduță, 200 gr.făină integrală, 100 gr.făină albă (e necesar să punem cel puțin 100 gr.faină albă, pentru ca foaia să nu se rupă intindem foaia pe masa unsa cu ulei. Practic, vw şi skoda oferă un sistem de tracţiune integrală chiar şi în clasa compactă, unde doar producătorii premium oferă alternativă. Eroarea la integrarea pe segmentul elementar este integrala erorii de aproximare:

Posting Komentar untuk "Integrala Din 1 Pe X"